奇数倍率钢丝绳系统 · 启闭机 | 总传动效率

释放双眼,带上耳机,听听看~!
往期回顾
卷扬式启闭机 | 钢丝绳系统的总传动效率
上文给出了偶数倍率启闭机的钢丝绳系统的总传动效率,在如图1所示的桥式起重机、如图2所示的龙门起重机,经常会用到奇数倍率的钢丝绳系统。
奇数倍率钢丝绳系统 · 启闭机 | 总传动效率
图1  桥式起重机
奇数倍率钢丝绳系统 · 启闭机 | 总传动效率
图2  龙门起重机
倍率为3、5的双联卷筒的钢丝绳绕绳示意图如图3所示。与水利水电工程启闭机常用的偶数倍率绕绳系统相比,奇数倍率的启闭机动滑轮数量为奇数,不设平衡滑轮,最中间的动滑轮做平衡滑轮用。
奇数倍率钢丝绳系统 · 启闭机 | 总传动效率
图3  奇数倍率钢丝绳绕绳示意图
奇数倍率钢丝绳系统的启闭机存在吊点中心线的位置随着扬程的释放(或收缩)发生变化的问题,但变化较小,设计时吊点中心线可取死扬程和最大扬程的平均值。
奇数倍率·钢丝绳系统 | 总传动效率
奇数倍率的钢丝绳系统的双联卷筒,倍率a=2k+1,动滑轮数量为a=2k+1,定滑轮数量为a-1=2k,取一半结构,如图4所示。
奇数倍率钢丝绳系统 · 启闭机 | 总传动效率
图4  奇数倍率钢丝绳绕绳
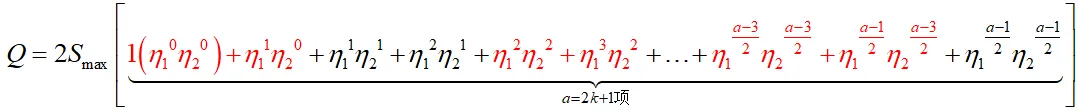
各钢丝绳的拉力如表1所示。
奇数倍率钢丝绳系统 · 启闭机 | 总传动效率
可知,钢丝绳拉力与启门容量的关系为:
奇数倍率钢丝绳系统 · 启闭机 | 总传动效率
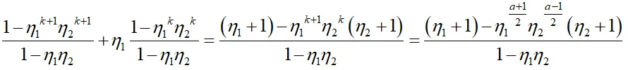
上述公式中的数列和部分:
(1)奇数项求和为:
奇数倍率钢丝绳系统 · 启闭机 | 总传动效率
(2)偶数项求和为:
奇数倍率钢丝绳系统 · 启闭机 | 总传动效率
则数列求和部分为:
奇数倍率钢丝绳系统 · 启闭机 | 总传动效率
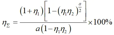
易知:奇数倍率·钢丝绳系统的总传动效率η∑为:
奇数倍率钢丝绳系统 · 启闭机 | 总传动效率
因此,对于双联卷筒、定滑轮和动滑轮效率不同的启闭机,其钢丝绳系统总传动效率,倍率为a,假定:动滑轮效率为η1、定滑轮效率为η2,则总传动效率η∑为通用计算公式为:
1、倍率a=2k,为偶数(推导过程见往期卷扬式启闭机 | 钢丝绳系统的总传动效率)
奇数倍率钢丝绳系统 · 启闭机 | 总传动效率
2、倍率a=2k+1,为奇数
奇数倍率钢丝绳系统 · 启闭机 | 总传动效率
滑轮组效率速查表
假定:滑动轴承效率为0.95,滚动轴承效率为0.98,则不同倍率、不同轴承型式组合滑轮组效率表更新如表2所示。
奇数倍率钢丝绳系统 · 启闭机 | 总传动效率
考虑到入水的动滑轮多采用滑动轴承,而定滑轮大多采用滚动轴承,因此建议:启闭机设计的水利规范和电力规范修订时,在条文解释中引用上述公式。
一家之言,仅供参考。

©远山金属结构

给TA打赏
共{{data.count}}人
人已打赏
机械液压

国家标准也会错?大胆指出GB/T 3452.3-2005密封标准中的一项错误

2025-11-14 16:32:00

机械液压

液压系统中液压缸的选型与设计计算步骤

2025-11-19 11:03:20

个人中心
购物车
优惠劵
今日签到
有新私信 私信列表
搜索