

01
起重机已发生的载荷谱系数Kpu
表1所述某100 t 通用桥式起重机已发生的载荷谱系数为:

式中:
Kpu--起重机械已发生的载荷谱系数。[公式源自GB/T 41510-2022第10页公式(4)]
PQui--起重机械的实际起升载荷,单位为千牛(kN);
nQui--起重机械起吊实际工作载荷PQui对应已发生的工作循环次数;
m--幂指数,取m=3;
PQmax--最大额定起升载荷,单位为千牛(kN);
NQu--起重机械已发生的总工作循环次数,NQu=nQui;
02
起重机实际工作时累积的损伤度DQu
根据GB/T 20863.1-2021《起重机 分级 第1部分:总则》中规定,工作级别为 A7、载荷谱系数Kp=1 时的满载工作循环次数NQ=5×105,见表2。

表2 起重机整机工作级别A(源自GB/T 20863.1-2021中表4,部件为Ac)
如果实际载荷/应力谱系数与设计时预期的载荷/应力谱系数不同,则实际使用寿命与设计寿命不同。但对同一个工作级别,同一工作级别下的Kp*NQ为恒定值,即
Kp*NQ=Kpt*NQt
式中:
Kp--设计载荷/应力谱系数;[公式源自GB/T 41510-2022第10页公式(1)]
Kpt--实际载荷/应力谱系数;
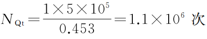
此实际载荷谱系数为 0.453 时的使用寿命计算为:

考虑工作记录不是自动记录,根据规定,实际工作的放大系数fQu1=1.1,见表3。

表3 放大系数f1(源自GB/T 20863.1-2021中表10)
则起重机实际工作时累积的损伤度为:

式中:
DQu--起重机械实际工作时累积的损伤度;[公式源自GB/T 41510-2022第10页公式(3)]
fQu1--实际放大系数,考虑起重机械实际工作载荷记录和估计的不准确性,见表3;
Kpu--起重机械已发生的的载荷谱系数;
NQu--起重机械已发生的总工作循环次数;
Kp--设计载荷/应力谱系数;
NQ--设计寿命(工作循环次数);
03
起重机剩余损伤度DQy
剩余损伤度
DQy=1-DQu
即DQy=1-0.628=0.372
式中:
DQy--起重机械的剩余损伤度;[公式源自GB/T 41510-2022第11页公式(5)]
DQu--起重机械实际工作时累积的损伤度;
04
起重机剩余工作循环次数NQy
因每年的生产工艺基本固定,则载荷谱系数不变,即Kpy=Kpu=0.453,计算出工作 20 年后的剩余工作循环次数为:

式中:
NQy--起重机械剩余工作循环次数;[公式源自GB/T 41510-2022第11页公式(6)]
Kp--设计载荷/应力谱系数;
NQ--设计寿命(工作循环次数);
fQy1--放大系数,取1.1,见表3;
Kpy--起重机械剩余工作载荷谱系数,如果未知,可取Kpy=Kpu;
DQy--起重机械的剩余损伤度;
因载荷谱系数不变,剩余工作循环次数也可由使用寿命和已发生的工作循环次数差值得到,结果与上面的相同。

05
起重机剩余寿命年限TQy
按平均每年工作循环次数nQy=31.5x103估算,工作 20 年后的剩余工作年限为:

式中:
TQy--起重机械剩余寿命年限,单位为年;[公式源自GB/T 41510-2022第11页公式(7)]
NQy--起重机械剩余工作循环次数;
nQy--起重机械剩余工作平均的每年工作循环次数,如果未知,可按已发生的平均每年工作循环次数取值;
06
常规情况简化估算剩余寿命
估算剩余寿命时,如果未来的载荷/应力谱系数与实际载荷/应力谱系数相同,可以直接计算,即:
Ny=NQt-NQu
=1.1x106-1.1x20x31.5x103
=4.07x105
式中:
Ny--起重机械剩余寿命(循环次数)[公式源自GB/T 41510-2022第10页公式(2)]
NQt--起重机械实际使用寿命(循环次数)
NQu--起重机械已使用寿命(循环次数),1.1为放大系数,见表3。
起重机械剩余寿命年限:
Ty=Ny/(fQu1*ny)
=4.07x105/(1.1x31.5x103)=11.7年
Ty--起重机械剩余寿命年限,单位为年;
fQu1--放大系数,取1.1;
ny--起重机械剩余工作平均的每年工作循环次数,同已发生的平均每年工作循环次数;
如果未来的载荷/应力谱系数与实际载荷/应力谱系数不相同,则应从损伤角度按照规定进行估算,见原文6.3.2~6.3.5条,包括整机、机构、机械零件、结构件剩余寿命估算。
本文为整机估算的一种示例解析,即“生产工艺固定的桥式起重机整机剩余寿命估算示例”,标准附录A还给出了“生产工艺发生变化的桥式起重机整机剩余寿命估算示例”、“门座起重机整机剩余寿命估算示例”、“门座起重机结构剩余寿命估算示例”等,如有需要,请参研原文献。

END
