在轴承高速运行中,温升验证是确保极限转速合理性的关键步骤。以下是温升限制验证公式的详细展开和工程应用方法:
1. 轴承摩擦功率损失(Ploss)的计算
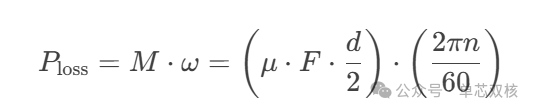
摩擦功率损失主要来源于滚动摩擦、滑动摩擦和润滑剂剪切阻力,常用简化公式:

M:摩擦扭矩(N·m),与载荷和摩擦系数相关。
ω:角速度(rad/s)。
μ:摩擦系数(球轴承≈0.001~0.005,滚子轴承≈0.002~0.01)。
F:当量动载荷(N),由径向载荷 Fr 和轴向载荷 Fa合成。
d:轴承内径(m)。
更精确的模型(SKF/ISO标准):

2. 散热系数(κ)的取值
散热能力取决于冷却方式:

3. 散热表面积(Acool)的确定
轴承外表面散热:

(D:外径,B:宽度,单位:m²)
附加散热片:若轴承座带散热鳍片,需计算有效表面积。
4. 温升验证流程
计算摩擦功率 Ploss(结合载荷与转速)。
确定散热条件(选择 κ和 Acool)。
计算温升:

判定标准:
一般轴承:ΔT≤40∼50℃。
精密轴承(如机床主轴):ΔT≤20∼30℃。
5. 实例计算
轴承6310(d=50 mm、, D=110 mm、, B=27 mm、),转速 n=6000 rpm。
当量动载荷 F=2000 N,摩擦系数 μ=0.003。
自然对流冷却()。
步骤:

6、降低温升的工程措施
- 优化润滑:改用低粘度润滑油或油气润滑。
- 增强散热:增加冷却风扇、油循环系统或散热片。
- 减少摩擦:选择陶瓷球轴承(摩擦系数降低30%~50%)。
- 控制载荷:避免过大的轴向预紧或偏载。
7. 动态热平衡分析
长期运行时需验证热平衡是否稳定:

通过上述分析,可科学判定轴承在目标转速下的可靠性,避免因温升导致的润滑失效或材料退化。