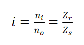
1)NGW行星齿轮传动·
![[基础]常用行星齿轮传动结构特点及速比计算](https://www.portmm.com/wp-content/uploads/2025/01/14620.png)
其传动比i计算公式:
![[基础]常用行星齿轮传动结构特点及速比计算](https://www.portmm.com/wp-content/uploads/2025/01/14621.png)
式中,
ni—— 输入转速,下同;
no—— 输出转速,下同;
zr—— 齿圈齿数;
zs—— 太阳轮齿数;
2)NGW准行星齿轮传动
![[基础]常用行星齿轮传动结构特点及速比计算](https://www.portmm.com/wp-content/uploads/2025/01/14622.png)
其传动比i计算公式:
![[基础]常用行星齿轮传动结构特点及速比计算](https://www.portmm.com/wp-content/uploads/2025/01/14623.png)
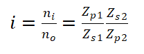
3)NW行星齿轮传动
![[基础]常用行星齿轮传动结构特点及速比计算](https://www.portmm.com/wp-content/uploads/2025/01/14624.png)
其传动比i计算公式:
![[基础]常用行星齿轮传动结构特点及速比计算](https://www.portmm.com/wp-content/uploads/2025/01/14625.png)
4)WW行星齿轮传动
![[基础]常用行星齿轮传动结构特点及速比计算](https://www.portmm.com/wp-content/uploads/2025/01/14626.png)
其传动比i计算公式:
![[基础]常用行星齿轮传动结构特点及速比计算](https://www.portmm.com/wp-content/uploads/2025/01/14627.png)
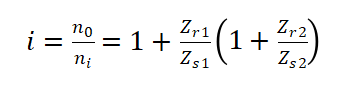
5)封闭差动复合行星齿轮传动Ⅰ
![[基础]常用行星齿轮传动结构特点及速比计算](https://www.portmm.com/wp-content/uploads/2025/01/14628.png)
其传动比i计算公式:
![[基础]常用行星齿轮传动结构特点及速比计算](https://www.portmm.com/wp-content/uploads/2025/01/14629.png)
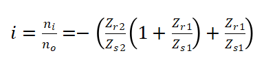
6)封闭差动复合行星齿轮传动Ⅱ
![[基础]常用行星齿轮传动结构特点及速比计算](https://www.portmm.com/wp-content/uploads/2025/01/146210.png)
其传动比i计算公式:
![[基础]常用行星齿轮传动结构特点及速比计算](https://www.portmm.com/wp-content/uploads/2025/01/146211.png)
1)NGW行星齿轮传动·
![[基础]常用行星齿轮传动结构特点及速比计算](https://www.portmm.com/wp-content/uploads/2025/01/14620.png)
其传动比i计算公式:
![[基础]常用行星齿轮传动结构特点及速比计算](https://www.portmm.com/wp-content/uploads/2025/01/14621.png)
式中,
ni—— 输入转速,下同;
no—— 输出转速,下同;
zr—— 齿圈齿数;
zs—— 太阳轮齿数;
2)NGW准行星齿轮传动
![[基础]常用行星齿轮传动结构特点及速比计算](https://www.portmm.com/wp-content/uploads/2025/01/14622.png)
其传动比i计算公式:
![[基础]常用行星齿轮传动结构特点及速比计算](https://www.portmm.com/wp-content/uploads/2025/01/14623.png)
3)NW行星齿轮传动
![[基础]常用行星齿轮传动结构特点及速比计算](https://www.portmm.com/wp-content/uploads/2025/01/14624.png)
其传动比i计算公式:
![[基础]常用行星齿轮传动结构特点及速比计算](https://www.portmm.com/wp-content/uploads/2025/01/14625.png)
4)WW行星齿轮传动
![[基础]常用行星齿轮传动结构特点及速比计算](https://www.portmm.com/wp-content/uploads/2025/01/14626.png)
其传动比i计算公式:
![[基础]常用行星齿轮传动结构特点及速比计算](https://www.portmm.com/wp-content/uploads/2025/01/14627.png)
5)封闭差动复合行星齿轮传动Ⅰ
![[基础]常用行星齿轮传动结构特点及速比计算](https://www.portmm.com/wp-content/uploads/2025/01/14628.png)
其传动比i计算公式:
![[基础]常用行星齿轮传动结构特点及速比计算](https://www.portmm.com/wp-content/uploads/2025/01/14629.png)
6)封闭差动复合行星齿轮传动Ⅱ
![[基础]常用行星齿轮传动结构特点及速比计算](https://www.portmm.com/wp-content/uploads/2025/01/146210.png)
其传动比i计算公式:
![[基础]常用行星齿轮传动结构特点及速比计算](https://www.portmm.com/wp-content/uploads/2025/01/146211.png)